MDS51系列智能V锥流量计
产品简介

Madshen草莓视频色情 V锥流量传感器改变传统的流体向中心收缩而压损大的缺点,而是轴对称的边壁收缩方式下的逐渐收缩和逐渐扩散。这是一次节流装置的节流、收缩的全新变革,在节流装置结构设计上是一次重大的突破。不仅解决了老式差压流量计所存在的技术缺陷,而且具有其他测量原理的流量传感器计所不具备的优点。

V形锥体和导流管是预先经过精密加工好的,流体在流经V锥体时,V锥体的结构和形状使得流体在收缩前有一个平滑的过度区,流体并不是被迫收缩到管道中心线附近,而是逐渐朝向管内边壁收缩,在前后两端会产生差压,配上相应的差压变送器和附件(三组阀、取压阀等)组成V锥流量计,从而测量出流量。
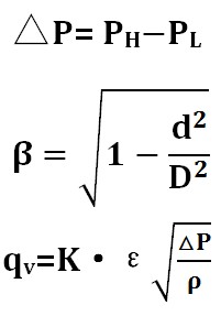
流量公式:

其中:
—等效直径比
ρ—流体工况条件下的密度
D—管道内径
K—K系数(与节流件形式(流束收缩系数)直径比,取压方式,雷诺数及管道粗糙度有关
d—V锥节流件的最大横截面处的直径
qv—体积流量
ε—气体膨胀系数(对于不可压缩液体ε=1)
1、公称通径:DN15~DN2000
2、公称压力:0~40MPa
3、精度:准确度等级为0.5%(差压变送器的准确度应高于0.2级,含0.2级)
4、重复性:优于0.1%
5、介质温度范围:可以实现-40~700℃的介质的流量测量
6、量程比通常为10:1
7、压损小:同样的β值,永久压力损失是孔板压力损失的1/3~1/5
8、测量流体:几乎适用于所用蒸汽、气体、液体介质的测量
9、前后直管段:3D(前),1D(后),方管V锥流量计无需前后直管段
11、结构材料材质:
| 部件名称 | 材质 |
| 测量管和法兰 | 304不锈钢、20#碳钢、其他 |
| V锥体和连接附件 | 304不锈钢, |
| 取压口 | 304不锈钢 |
| 三阀组(附件、可选) | 304不锈钢 |
| 引压管(附件、可选) | 304不锈钢 |
| 冷凝罐(附件、可选) | 304不锈钢 |
| 排污阀(附件、可选) | 304不锈钢 |
| 部件名称 | 材质 |
| 测量管和法兰 | 304不锈钢、20#碳钢、其他 |
| V锥体和连接附件 | 304不锈钢, |
| 取压口 | 304不锈钢 |
| 三阀组(附件、可选) | 304不锈钢 |
| 引压管(附件、可选) | 304不锈钢 |
| 冷凝罐(附件、可选) | 304不锈钢 |
| 排污阀(附件、可选) | 304不锈钢 |
12、外表涂层:
| 传感器测量管材质 | 外表涂层 |
| 全不锈钢304 | 喷不锈钢砂 |
| 测量管为碳钢 | 银灰色环氧树脂漆 |
13、防爆等级(差压变送器):隔爆、本安、不防爆可供选择(差压变送器)
14、供电电源(差压变送器):12~24VDC,
15、输出信号(差压变送器):4~20mA或HART协议
16、显示及输出:
| 差压变送器 | 现场显示 |
| 配多参数变送器 | 瞬时流量 累积流量 |
| 配差压变送器 | 与差压范围相对应的差压值 |

MDS51 V锥流量传感器选型表
MDS 51 | V锥流量传感器 | |||||||
过程连接 | A | 法兰式 | ||||||
B | 直接焊接式 | |||||||
C | 方管式 | |||||||
D | 其它形式,订货时说明 | |||||||
传感器口径 | 15 | DN15 | ||||||
25 | DN25 | |||||||
50 | DN50 | |||||||
65 | DN65 | |||||||
80 | DN80 | |||||||
100 | DN100 | |||||||
— | —— | |||||||
材 质 | A | 整体304 | ||||||
B | 管道,法兰为碳钢,锥体为304. | |||||||
C | 整体316 | |||||||
D | 其它材质 | |||||||
额定压力 | 6 | 额定压力0.6MPa | ||||||
10 | 额定压力1.0MPa | |||||||
16 | 额定压力1.6MPa | |||||||
25 | 额定压力2.5MPa | |||||||
40 | 额定压力4.0MPa | |||||||
— | —— | |||||||
420 | 额定压力42MPa | |||||||
取压口形式 | S | 承插口 | ||||||
G | 锥管螺纹1/2”NPT或ZG1/2” | |||||||
F | 法兰取压 | |||||||
R | 其它 | |||||||
密封面形式 | RF | 突面密封 | ||||||
MF | 凹凸面密封 | |||||||
TG | 榫槽面密封 | |||||||
RJ | 环连接面密封 | |||||||
Q | 其它方法 | |||||||
连接附件 | C | 常温 | ||||||
H | 高温 | |||||||
W | 赃污 | |||||||
Z | 其它 | |||||||
法兰标准 | GB | 国标 | ||||||
HG | 化工部标准 | |||||||
JB | 原机械部标准 | |||||||
ASME | 美标 | |||||||
Q | 其它标准 | |||||||


